Search This Blog

Tests for Carbohydrates Fats and Proteins

Carbohydrates are optically active polyhydroxy aldehydes, polyhydroxy ketones,  or compounds, which give these units as a hydrolysis product

 Three broad classes of carbohydrates are as follows : 

 (i) Monosaccharides: These cannot be hydrolyzed further to polyhydroxy aldehydes or ketones. Eg: glucose, fructose, etc

 (ii) Oligosaccharides: These yield 2-10 monosaccharide units on hydrolysis. Common amongst these are disaccharides, which produce two monosaccharide units. Eg: Sucrose,lactose, maltose etc

 (iii) Polysaccharides: These yield a large number of monosaccharide units on hydrolysis. Eg: starch, cellulose, glycogen, etc


  • If a monosaccharide contains an aldehydic group it is called aldose.
  • If it contains the keto group it is called ketose
  • Carbohydrates, which are sweet in taste, are called sugars.
  • Sugars are classified into two major categories: reducing sugars and non-reducing sugars
  • The three tests, Fehling’s test, Benedict’s test, and Tollen’s test, detect sugars' reducing properties.

Test for Carbohydrates

Molisch’s test:

Carbohydrates of all classes give Molisch’s test

On adding concentrated sulphuric acid to the aqueous solution of carbohydrate-containing alcoholic solution of 1-naphthol, a deep violet color appears at the junction of the two liquids

Concentrated sulphuric acid hydrolyses glycosidic bonds of carbohydrates to give monosaccharides which are dehydrated to an aldehyde known as furfural which undergoes a reaction with 1–naphthol to provide an unstable condensation product of deep violet color.

Molisch test furfural
Qualitative test for fat


Test to distinguish Ketose from Aldose

Seliwanoff’s test

  • Ketoses dehydrate very rapidly under acidic conditions to give furfural, which reacts with resorcinol (1,3-dihydroxy benzene) to give a colored product.
  • Ketohexoses give red color and ketopentoses give blue-green color.

Seliwanoffs test

Note: Aldoses take a longer time to produce colour because under the same conditions, aldoses form furfural slowly, probably because β-elimination is required before dehydration to furfural. Therefore prolonged heating should be avoided.

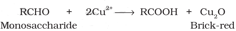
Test to distinguish Monosaccharide from Disaccharide

Barfoed’s test

  • The reagent is cupric acetate in acetic acid solution.
  • It is weakly acidic and is reduced by only monosaccharides
  • Prolonged boiling may hydrolyse disaccharides and false positive test may be obtained
  • Monosaccharides react with this reagent within 5 minutes to give a brick red precipitate of copper (I) oxide.
Barfoed test

Test for Starch

Iodine test
  • Starch gives a blue color with iodine solution due to the formation of a starch iodide complex. Starch is present in wheat, rice, maize, potatoes etc

Test for proteins

Biuret test for peptide bonds

  • Alkaline copper sulfate reacts with compounds containing two or more peptide bonds to form complexes of violet color.
Biuret test for proteins

Ninhydrin Test

  •  Ninhydrin is a powerful oxidizing agent and reacts with proteins to give a blue-violet compound called Rhumann’s purple.
  • Ammonia, primary amines, amino acids and peptides also react with ninhydrin
Ninhydrin test


No comments:

Post a Comment

JEE Main and Advanced 2026 – Complete Guide, Syllabus, Exam Dates, and Strategy

  JEE Main and Advanced 2026 – Complete Guide, Syllabus, Exam Dates, and Strategy JEE Main and Advanced 2026 are two of the most...

Popular Posts